Ranking: BM25+
Introduction
The BM25+ is a ranking algorithm used to rank text documents based on a relevance score.
It is used in search engines to determine which documents are the most relevant given a terms query.
The algorithm implemented is based on the Improvements to BM25 and Language Models Examined paper.
Implementation
An index can be used to index the terms and the documents in which the terms occur:
[term: apples] - doc1, doc2, doc3
[term: grapes] - doc2, doc4
When a user queries using the apples term then doc1, doc2 and doc3 is returned.
To score doc1, doc2 anddoc3 based on relevance the BM25+ algorithm is used.
The BM25+ is a simple mathematical formula, and it is calculated as follows:

Lovins, J.B., Error evaluation for stemming algorithms as clustering algorithms. JASIS, (1971), 22(1):28-40
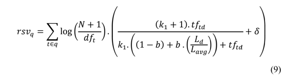
We can ignore the sum for now. If a user queries with multiple terms, the RSV (Retrieval Status Value) is the score sum of each term individually.
The k1, b and delta sign are tuning parameters. The final formula looks like:

The first part is the Inverse Term Frequency, which BM25+ algorithms change by adding 1 to the N.
This frequency measures how relevant a term is to the document, N is the number of documents and
dft is the number of documents containing the term.
In the second part:
tftdis the number of times the term appears in the document.Ld- is the length of the document.Ldavg- is mean length of documents.
The output of the formula is the RSV, the higher, the more relevant the document is.
Indexing
The indexing operation stores the document in the defined storage.
/**
* The storage holds a mapping of document id -> document.
*/
private var storage: MutableMap<Int, TokenizedDocument> = HashMap()
/**
* The term frequency index holds a mapping of term -> list of documents in which the term occurs.
*/
private var termFrequencyIndex: MutableMap<String, HashSet<Int>> = HashMap()
And the index document is implemented as follows:
/**
* Indexes a document.
*/
fun index(document: Document) {
// Tokenize the document, for educational purposes and simplicity we will consider tokens only
// the words delimited by a space and transform them into lowercase.
val tokenizedDocument = TokenizedDocument(document, document.text)
// Document does not exist in index
if (!storage.containsKey(document.id)) {
storage[document.id] = tokenizedDocument
totalTokens += tokenizedDocument.getTokens().size
meanDocumentLengths = (totalTokens / storage.size).toDouble()
// Index all tokens
tokenizedDocument.getTokens().forEach {
if (termFrequencyIndex.containsKey(it)) {
termFrequencyIndex[it]?.add(document.id)
} else {
termFrequencyIndex[it] = HashSet()
termFrequencyIndex[it]?.add(document.id)
}
}
}
}
A terms query has the following implementation:
fun termsQuery(vararg terms: String): List<Pair<Double, Document>> {
val documentIds = terms.map { term ->
Pair(term, termFrequencyIndex[term.lowercase()] ?: mutableSetOf())
}.reduce { acc, pair ->
// add all documents which contain them terms to the documents set.
acc.second.addAll(pair.second)
// return
acc
}.second
// Compute the terms RSV sum for each document.
return documentIds.map {
val document = storage[it] ?: return@map null
val documentRsv: Double = terms.sumOf { term -> computeRsv(term.lowercase(), document) }
return@map documentRsv to document.document
// Sort results by highest score and filter out Infinity scores, which mean that the term does not exist.
}.filterNotNull().filter { isFinite(it.first) }.sortedByDescending { it.first }
}
You can browse the full source code and tests suite: Source Code | Unit-Tests.